
联系人:徐经理
电话:139 6412 8213
地址:济南市长清区大学科技园
网址:www.mobilesann.com
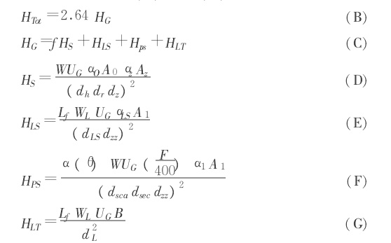
依据最新出版的NCRP Nn .151 ,采用相应的公式估算铅防护门处的剂量。该加速器为15 MV高能加速器,治疗室入口的剂量来自于:①加速器X射线散射与泄漏辐射;②中子俘获y射线;③中子。从理论上来说,对治疗室门入口的屏蔽应同时考虑这三方面的剂量,所以防护门入口处总的剂量当量Hw (mSv·周可按公式(A)进行计算。
Hw=Hta+Hcg+Hn (A)
式中:Hta一防辐射铅门处x射线散射与泄漏辐射的总周剂量当量;氏,Hcg一中子俘获y辐射的周剂量当量;Hn一中子的周剂量当量。
各剂量成分的估算步骤为:
(1) Hta的估算:Hta包括:①主束通过墙G散射到铅门处的剂量当量Hs ;②装置头泄漏辐射一次散射的剂量当量Hls ;③主束通过患者体表散射产生的剂量当量Hps ;④穿过迷路内墙的泄漏辐射剂量当量Hlt,可通过(B)一(G)式进行估算。

(B)一(G)式中:w一周工作负荷。Ug一主束墙G的照射使用因子;ao一主束散射面Ao的反散射系数;A0一主束散射面面积;az一迷路表面Az的第二次反散射的反散射系数(通常假定散射能量为0.5Mev。Az一主束散射面Ao的散射线经过迷路内口发散到迷路外墙内表面的散射面积;dh一从靶至第一个反散射表面的垂直距离相当于等中心点至墙的垂直距离((dpp+1m,dr一第一个反散射束线中心沿其散射方向经过迷路内墙边缘到迷路中线点c的距离(m);dz一沿迷路从点C到入口防护门的距离(m);Lf一距靶1m处机头泄漏辐射率;Wl一泄漏辐射工作负荷;aLS一泄漏辐射散射到主束墙G的反散射系数(可查NCRP 151中表BA) ; A1一从门入口可见的墙G的面积 ; dls一靶至墙G上迷路中线的距离(m),(可以等中心作为平均靶位置进行测量,本文在计算中仍作实际度量获得该距离值);dsec一等中心点到散射面A1的距离(M);F一患者等中心1m处照射野的面积。aθ一患者有用束的散射辐射以θ角入射到墙G的散射因子(可查NCRP 151中表;al-墙G对患者有用束散射辐射的反散射系数(可查NCRP 151中表BA);dsca一靶至患者的距离(m);dsec一患者至迷路墙G上中线的距离(m) ; dzz一迷路中从散射表面A1到门的距离(m);B一迷路内墙Z对机头泄漏辐射的衰减因子;dl一靶经由迷路内墙Z至防护门中心的距离(m) ,
(2) Hcg的估算:可使用(H)一(J)式对Hcg进行估算。
(H)一(J)式中:hφ一防护门处单位输出剂量(吸收剂量的中子俘获γ剂量当量;K一图1中A点“中子俘获y剂量当量一总中子注量”转换系数K =6.9 X 10sv●m2: φAK一A点单位吸收剂量(GY)的总中子注量(下同);φAK-A点的中子俘获y剂量当量;d1一图1中等中心点。到A点的距离(m) ; d2-A点到入口门的距离(m) ; TVD纵一光子10倍衰减距离(18-25 MV时,TVD =5.4 m;15mw时,TVD = 3.9 m);β一穿过靶屏蔽体的中子衰减因子;δn一单位吸收剂量的中子数。
(J)式中3个计算分式分别表示直射中子、散射中子和热中子的注量,其中散射中子和热中子计算分式中的1/2π考虑了进入迷路的中子份额。